1. 今有一混合物的水溶液,只可能含有以下离子中的若干种:k+、nh4+、cl−、mg2+、ba2+、co32−、so42−,现取三份各100 ml该溶液进行如下实验:
第一份加入agno3溶液有沉淀产生;第二份加足量naoh溶液加热后,收集到气体0.04 mol;第三份加足量bacl2溶液后,得干燥沉淀6.27克,经足量盐酸洗涤、干燥后,沉淀质量为2.33克。根据上述实验,回答下列问题:
(1) 一定不存在的离子是__________,不能确定是否存在的离子是__________。
(2) 试确定溶液中肯定存在的阴离子及其浓度(可不填满):
离子符号__________浓度__________;离子符号__________浓度__________;
离子符号__________浓度__________。
(3) 试确定k+是否存在__________(填“是”或“否”),判断的理由是__________。
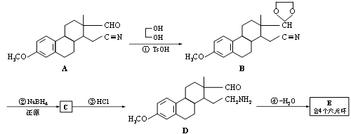
2. 药物e具有抗癌抑菌功效,其合成路线如下:(b、d分子中未参加反应的部分省略)

资源难易程度:★★★★★★★★★★★★★★★
高考资源网版权所有 ©2005-2010
未经许可,盗用或转载本站资料者,本站将追究其法律责任!