1.在等差数列高考资源网(ks5u.com),中国最大的高考网站,您身边的高考专家。 src="/article/article/20120611115954001.gif" width=31 height=24>中,
则
的前5项和
=
a.7 b.15 c.20 d.25

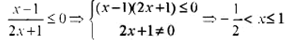
2.不等式
的解集为
a.
b.
c.
d.
《答案》 a
![]()
《解析》
《考点定位》本题主要考察了分式不等式的解法,解题的关键是灵活运用不等式的性质,属于基础试题
资源难易程度:★★★★★★★★★★★★★★★
高考资源网版权所有 ©2005-2014
未经许可,盗用或转载本站资料者,本站将追究其法律责任!