收藏本页校园通试用在线留言
我有资料要上传您的位置:网站首页>>试卷中心>>数学试卷>>数学高考模拟/高考冲刺

《KS5U解析》《2014上海崇明一模》上海市崇明县2014届高三上学期期末考试(一模)数学(理)试题Word版含解析

资料类别试卷

高考模拟/高考冲刺 

提供方式免费

下载扣点0 (该资料免费下载

教材版本苏教版

使用学科数学

使用年级高三

上传人799647986@qq.com

更新时间2014-04-01 14:51:26

下载统计

评论(发表评论 报错收藏

| 更多

最新资源

基本信息   在线预览

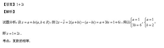
1.已知虚数z满足等式<a高考资源网(ks5u.com),中国最大的高考网站,您身边的高考专家。 src="/article/article/20140401153806001.gif" width=91 height=19>,则z=        

特邀主编老师 ks5u郭老师 点评:

欢迎下载!投稿QQ 2355394501

查看所有评论网友评论


资源难易程度:★★★★★★★★★★★★★★

成套相关资源
下载过本资料的用户还下载过
一周排名
相关搜索