收藏本页校园通试用在线留言
我有资料要上传您的位置:网站首页>>试题中心>>数学试题>>数学一轮复习试题

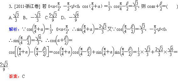
2012届高考(理科)数学一轮复习课时作业:3.6 简单的三角恒等变换(北师大版)

资料类别试题

一轮复习试题 

提供方式免费

下载扣点0 (该资料免费下载

教材版本北师大版

使用学科数学

使用年级高三

上传人jxnkhbh1

更新时间2011-10-18

下载统计

评论(发表评论 报错收藏

| 更多

最新资源

基本信息


特邀主编老师 huangbanghuo@ks5u.com 点评:

资源新,适用,欢迎下载!!!

查看所有评论网友评论


资源难易程度:★★★★★★★★★★★★★★

成套相关资源
下载过本资料的用户还下载过
一周排名
相关搜索