收藏本页校园通试用在线留言
我有资料要上传您的位置:网站首页>>试题中心>>数学试题>>数学单元测试试题

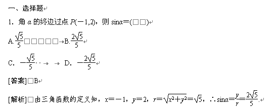
高一数学必修4(新人教)课后强化训练(含详解):1.4 第3课时

资料类别试题

单元测试试题 

提供方式扣点

下载扣点1 (立即充值

教材版本无版本

使用学科数学

使用年级高一

上传人chq@ks5u.com

更新时间2011-8-17

下载统计

评论(发表评论 报错收藏

| 更多

最新资源

基本信息


特邀主编老师 chq@ks5u.com 点评:

高一数学必修4(新人教)课后强化训练(含详解):1.4 第3课时

查看所有评论网友评论


资源难易程度:★★★★★★★★★★★★★★

成套相关资源
下载过本资料的用户还下载过
一周排名
相关搜索