收藏本页校园通试用在线留言
我有资料要上传您的位置:网站首页>>课件中心>>数学课件>>数学备课课件

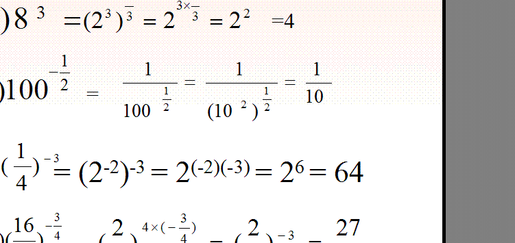
【数学】3.2.2《指数扩充及其运算性质》课件(北师大版必修1)

资料类别课件

备课课件 

提供方式扣点

下载扣点1 (立即充值

教材版本无版本

使用学科数学

使用年级高一

上传人cxs1112@126.com

更新时间2011-9-16

下载统计

评论(发表评论 报错收藏

| 更多

最新资源

基本信息


特邀主编老师 chenxishui@ks5u.com 点评:

好课件

查看所有评论网友评论


资源难易程度:★★★★★★★★★★★★★★

成套相关资源
下载过本资料的用户还下载过
一周排名
相关搜索