收藏本页校园通试用在线留言
我有资料要上传您的位置:网站首页>>试题中心>>数学试题>>数学试题汇编试题

上海版(第04期)-2014届高三名校数学(理)试题分省分项汇编解析版11.复数Word版含解析

资料类别试题

试题汇编试题 

提供方式免费

下载扣点0 (该资料免费下载

教材版本无版本

使用学科数学

使用年级高三

上传人799647986@qq.com

更新时间2014-05-28 16:52:38

下载统计

评论(发表评论 报错收藏

| 更多

最新资源

基本信息   在线预览

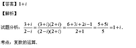
1. 上海市长宁、嘉定区2014届高三4月第二次模拟考试数学(理)试题已知<a高考资源网(ks5u.com),中国最大的高考网站,您身边的高考专家。 src="/article/article/20140528172652001.gif" width=9 height=17>为虚数单位,计算:高考资源网(ks5u.com),中国最大的高考网站,您身边的高考专家。___________

特邀主编老师 ks5u郭老师 点评:

欢迎下载!投稿QQ 2355394501

查看所有评论网友评论


资源难易程度:★★★★★★★★★★★★★★

成套相关资源
下载过本资料的用户还下载过
一周排名
相关搜索