1,已知全集
,且
,则
为
a.
b.
c.
d.
2,设a={
}, b={
}, 下列各图中能表示从集合a到集合b的映射是( )

3,函数
定义在
上,则函数
图象与直线
的交点个数有( )
a.0个 b.1个 c.2个 d.不能确定
4,已知 y = f ( x ) 是定义在r 上的偶函数, 且在( 0 , +
)上是减函数,如果
x1 < 0 , x2 > 0 ,且| x1 | < | x2 | , 则有( )
a. f (-x1 ) + f (-x2 ) > 0 b. f ( x1 ) + f ( x2 ) < 0
c. f (-x1 ) -f (-x2 ) > 0 d. f ( x1 ) -f ( x2 ) < 0
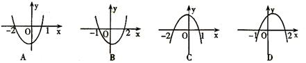
5,已知函数
,且
的解集为(-2,1)则函数
的图象为( )
网 ]

资源难易程度:★★★★★★★★★★★★★★★
高考资源网版权所有 ©2005-2010
未经许可,盗用或转载本站资料者,本站将追究其法律责任!